काठमाडौं। बैंकहरुले वातावरणीय तथा सामाजिक जोखिम मूल्यांकन गरेर साढे ७ खर्ब रुपैयाँ बढी कर्जा प्रवाह गरेका छन्। गत आर्थिक वर्षमा वाणिज्य बैंकहरुले ७ खर्ब ५१ अर्ब ४० करोड रुपैयाँ नेपाल राष्ट्र बैंकले लागू गरेको वातावरणीय तथा सामाजिक जोखिम व्यवस्थापन (इएसआरएम) मार्गदर्शन, २०१८ अनुसार नयाँ कर्जा प्रवाह गरेका हुन्।
केन्द्रीय बैंकले ५ वर्षअघि २०७७ सालमा उक्त मार्गदर्शन जारी गरेको थियो। उक्त मार्गदर्शनअनुसार कर्जा प्रवाह गर्न राष्ट्र बैंकले अघिल्लो आर्थिक वर्षमै बैंकहरुलाई निर्देशन दिएको हो। जसअनुसार बैंकहरुले इएसआरएम अन्र्तगत रहेको इन्भायरोमेन्ट एन्ड सोसल ड्यु डेलिजेन्स (इएसडिडी) चेकलिस्ट तयारी पारि सोहीअनुसार मागदण्ड पूरा गर्ने कर्जाको फाइलमात्रै पास गर्नुपर्छ।
यस्तो चेकलिस्ट बैंकहरुले उद्यम तथा व्यवसाय विस्तारका लागि कर्जा माग गर्न आउने ग्राहकलाई इएसडिडीको चेकलिस्ट भर्न लगाउँछ।
उक्त चेकलिस्टमा तोकिएको नम्बर वा मापदण्ड पूरा भएपछिमात्रै माग भएको कर्जाको फाइल अन्य प्रकृयाको लागि अघि बढाइन्छ। यस्तो चेकलिस्टमा बैंकबाट कर्जा लिएर सुरु गरिने वा थप गरिने उद्यम व्यवसायले वातवरणमा पार्ने नकारात्मक प्रभावबारे सोधिएको हुन्छ। जसमा जवाफ कर्जा माग गर्न आउने ग्राहकले प्रमाणसहित बैंकमा पेश गर्नुपर्ने हुन्छ।
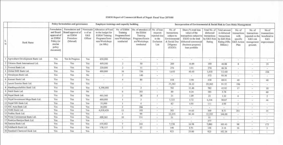
राष्ट्र बैंकको यस्तो निर्देशन पालना गर्नेमा सबैभन्दा अब्बल स्थानमा लक्ष्मी सनराइज बैंक रहेको छ। लक्ष्मी सनराइज बैंकले गत आर्थिक वर्षको अन्त्यसम्म कुल २५ हजार ३ सय ६२ वटा कर्जाको फाइल उक्त गाइडलाईनअनुसार चेकलिस्ट बनाएर प्रवाह गरेको हो। यस्तो गाइडलाइन पालना गरी बैंकले ९१ अर्ब ५२ करोड रुपैयाँ नयाँ कर्जा प्रवाह गरेको छ। पुराना कर्जामध्ये ३६.१२ प्रतिशत कर्जा इएसआरएमको गाइडलाइनअनुसार समीक्षा गरेको छ।
इएसआरएम गाइडलाइनअनुसार बैंक तथा वित्तीय संस्थाहरूले जलवायु परिवर्तन तथा ध्वनि प्रदूषण गर्न सघाउने उद्यम तथा व्यवसायलाई ऋण दिँदा जतिसुकै सानो रकम भए पनि इएसडिडी चेकलिस्ट अनिवार्य भर्नुपर्छ। १ करोड रुपैयाँभन्दा माथिको आवधिक कर्जा तथा परियोजना कर्जामा पनि इएसडिडी अनिवार्य गरिएको छ।
यसरी इएसडिडी गर्दा मध्यम तथा उच्च जोखिम भएको क्षेत्रमा लगानी गर्दा बैंक तथा वित्तीय संस्थाहरूले सामाजिक तथा वातावरणीय जोखिम सारांश तयारी पारि जोखिम न्यूनीकरणको कार्ययोजना पनि कर्जाको आवदेनमा राखेर बैंकमा पेश गर्नुपर्ने इएसआरएममा व्यवस्था गरिएको छ। बैंक तथा वित्तीय संस्थाहरुलाई राष्ट्र बैंकले इएसआरएमले तोकेअनुसार आफ्ना कर्मचारीसमेत तालिम दिन खर्च छुट्याउँन निर्देशन दिएको छ।
नियामकले दिएको निर्देशन पालनामा लक्ष्मी सनराइज अब्बल हुँदा सरकारी स्वामित्वको कृषि विकास बैंकले हालसम्म यस्तो चेकलिस्ट नै तयार पारेको छैन्। राष्ट्र बैंकद्वारा सार्वजनिक वाणिज्य बैंकहरुको गत आर्थिक वर्षको इएसआएस प्रतिवेदनअनुसार कृषि विकास बैंकले समीक्षा अवधिसम्म इन्भायरोमेन्ट एन्ड सोसल ड्युडेलिजेन्स (इएसडिडी) को चेकलिस्ट तयार नै गरेको छैन।
बैंकले यस्तो चेकलिस्ट बनाउने प्रक्रिया शुरु गरेको जानकारी भने राष्ट्र बैंकमा गराएको छ। इएसआरएम गाइडलाइन्सअनुसार कर्मचारीलाई तालिम दिन ६ लाख ५० हजार रुपैयाँ छुट्याएको छ।
बाँकी सबै वाणिज्य बैंकहरुले इएसआरएम गाइडलाइन पालनाको लागि आवश्क नीति बनाएका छन्। उक्त गाइडलाइनअन्तरर्गत रहेर हिमालयन बैंक, कुमारी बैंक, लक्ष्मी सनराइज बैंक, नबिल बैंक, प्रभु बैंक र स्ट्यान्डर्ड चार्टर्ड बैंकले तालिमको लागि पैसा छुट्याएका छैनन्।

यी बैंकहरुले राष्ट्र बैंकले तोकेको कर्मचारी तालिमका लागि छुट्याउनु पर्ने रकमबाट कर्मचारीलाई यस्तो शीर्षकका तालिम गराएको देखिन्छ। इएसआरएम गाइडलाइनअनुसार गत आर्थिक वर्षमा कुल ७३ वटा तालिम तथा गोष्ठी सञ्चालन गरेका छन्। जसमा सबैभन्दा बढी ग्लोबल आइएमई बैंकले १६ वटा तालिम तथा गोष्ठी गरेको छ।
इएसआरएम गाइडलाइनअनुसार बैंकको लगानी
राष्ट्र बैंकको प्रतिवेदनअनुसार गत आर्थिक वर्षमा वाणिज्य बैंकहरुले इएसआरएम गाइडलाइन पालना गर्दै २ अर्ब रुपैयाँदेखि १ खर्ब ४६ अर्ब रुपैयाँसम्म नयाँ कर्जा प्रवाह गरेका छन्। जसमा सबैभन्दा बढी प्रभु बैंकले गर्दा सबैभन्दा कम नेपाल बैंकले गरेको हो।
यस्तो गाइडलाइन पालना गर्दै राष्ट्रिय वाणिज्य बैंक, प्राइम कर्मसियल बैंक, एनआइसी एसिया बैंक र कृषि विकास बैंकले नयाँ कर्जा प्रवाह गरेका छैनन्।
इएसआरएम गाइडलाइनअनुसार जोखिम मुल्यांकन गरेर नयाँ कर्जा प्रवाह गर्नेमा सिटिजन्स बैंक ४० अर्ब ८८ करोड, एभरेष्ट बैंक ४६ अर्ब ३६ करोड, हिमालयन बैंक ९५ अर्ब ५० करोड, कुमारी बैंक ६८ अर्ब १ करोड, लक्ष्मी सनराइज ९१ अर्ब ५२ करोड, माछापुच्छ्रे बैंकको ४२ अर्ब ९२ करोड, नबिल बैंकले ५ अर्ब ७८ करोड र नेपाल बैंकले १ अर्ब ३२ करोड रुपैयाँ नयाँ कर्जा प्रवाह गरेका हुन्।
यस्तै, नेपाल इन्भेष्टमेन्ट मेगा बैंकले ५८ अर्ब ६७ करोड, नेपाल एसबिआइ बैंकले ५ अर्ब ९९ करोड, एनएमबी बैंकले ८ अर्ब ५१ करोड, सानिमा बैंकले १ खर्ब ३ करोड ४३ करोड, सिद्धार्थ बैंकले २ अर्ब १६ करोड, स्ट्यान्डर्ड चार्टर्ड बैंकले १ खर्ब २ अर्ब ३६ करोड रुपैयाँ इएसआरएमको गाइडलाइनअनुसार जोखिम मुल्यांकन गरेर नयाँ कर्जा प्रवाह गरेका हुन्। उल्लेखित बैंकहरुले प्रवाह गरेको कर्जा परिमाण वातवरणीय तथा सामाजिक जोखिम बाहिर रहेको राष्ट्र बैंकको तथ्यांकले देखाउँछ।
बैंकहरुको इन्भायरोमेन्ट एन्ड सोसल ड्युडेलिजेन्स रेटिङ
सञ्चालनमा रहेका २० वाणिज्य बैंकहरुमध्ये १६ वटाले गत आर्थिक वर्षमा इएसआरएम गाइडलाइनअनुसार चेकलिस्ट बनाएर कर्जाको फाइल पास गरेका छन्।
जसमा सबैभन्दा बढी लक्ष्मी सनराइज बैंकले १२ हजार ३ सय ५५ वटा कर्जा र सबैभन्दा कम नेपाल बैंकले २१ वटा कर्जा उक्त चेकलिस्ट भराएर पास गरेको हो। कृषि विकास बैंक, हिमालयन बैंक, एनआइसी एसिया बैंक र राष्ट्रिय वाणिज्य बैंकले इएसआरएमअनुसार कर्जाको कारोबार नगरेका हुन्।
यी बैंकहरुले कर्जा प्रवाह गर्दा जल परिवर्तन, वायु तथा ध्वनि प्रदूषण गर्ने उद्यम तथा व्यवसायलाई ऋण दिँदा इएसडिडी चेकलिस्ट नभराएका हुन्।
इएसडिडी चेकलिस्ट भराएर कर्जाको कारोबार गराउनेमा सिटिन्स बैंकले २ सय ९ वटा, एभरेष्टले २ सय ७४, ग्लोबल आइएमईले १ हजार ६ सय १०, कुमारीले ४ सय ५८, लक्ष्मी सनराइजले २५ हजार ३ सय ६२, माछापुच्छ्रेले ७ सय ८२, नबिलले ८९, नेपाल बैंकले २१, नेपाल इन्भेष्टमेन्ट मेगाले १ हजार ३ सय २२ र नेपाल एसबिआइ बैंकले ८२ वटा कर्जाको कारोबार एएसआरएसको मागदण्ड पालना गरेको हो।
उक्त गाइडलाइन पालना गर्दै एनएमबी बैंकले ३ सय ८३, प्रभुले १२ हजार ३ सय ५५, प्राइम कर्मसियलले ५१ वटा, सानिमाले ७ हजार २ सय ३८, सिद्धार्थले १ सय ४६ र स्ट्यान्डर्ड चार्टर्ड बैंकले १ सय ९३ वटा कर्जाको कारोबार गरेका हुन्।