काठमाडौं । एक वर्ष पुग्न लाग्दा पनि जलविद्युत आयोजनाको बिमासम्बन्धी विषय अझै सुल्झिएको छैन। गत असार १ र २ मा वर्षासँगै आएको बाढीपहिरोले पूर्वी नेपालका दुई दर्जन बढी जलविद्युत आयोजनामा क्षति पुर्याएको थियो। तर, एक वर्ष बित्न लाग्दा पनि बिमाको विषय अझै समाधान हुन नसकेको हो।
समयमै बिमा समस्या समाधान नहुँदा ऊर्जा उत्पादक एकातर्फ बिमाको औचित्यमाथि प्रश्न उठाइरहेका छन् भने अर्कोतर्फ दाबी भुक्तानी नपाउने भए बिमा किन गर्नु भनेर प्रश्न गरिरहेका छन्। स्वतन्त्र ऊर्जा उत्पादक संघ नेपाल (इप्पान)का अध्यक्ष गणेश कार्की केही आयोजनाको बिमा दाबी भुक्तानी सल्टिए पनि कतिपयको बाँकी रहेको बताउँछन्।
‘कतिपय कम्पनीले पैसा दिइसकेका छन् भने कतिपय कम्पनीको सर्भेयरले रिपोर्ट नै दिइसकेका छैनन्,’ अध्यक्ष कार्की भन्छन्, ‘निर्माणाधीन र सञ्चालन भइसकेका दुवै किसिमको आयोजनामध्येबाट केही कम्पनीको बाँकी रहँदा केहीको दाबी भुक्तानी भइसकेको छ।’
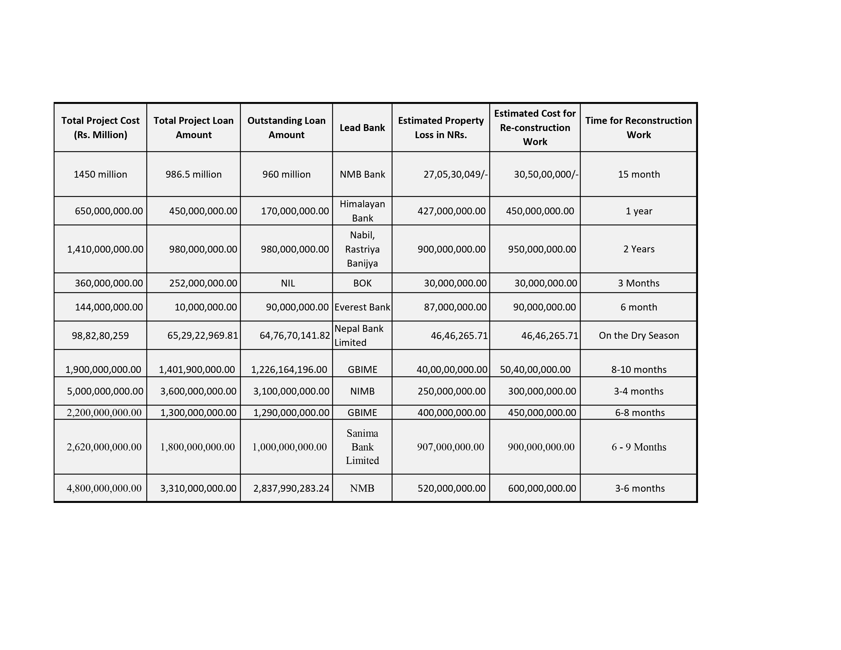
गत वर्षको बाढीले कोसी प्रदेशका संखुवासभा, ताप्लेजुङ र पाँचथरमा निर्माणाधीन तथा निर्माण सम्पन्न दुई दर्जन बढी जलविद्युत आयोजनामा क्षति पुर्याएको थियो। बाढीले विभिन्न ४६३ मेगावाट क्षमताका ३० आयोजनामा क्षति पुर्याउँदा ७ अर्ब रुपैयाँ दाबी भुक्तानी हुनुपर्ने विषय इप्पानले उठाउँदै आएको छ। जसमा अझै केहीको टुंगिन बाँकी रहेको नेपाल बिमक संघ अध्यक्ष तथा सगरमाथा लुम्बिनी इस्योरेन्स कम्पनी (सलिको)का प्रमुख कार्यकारी अधिकृत (सीईओ) चंकी क्षेत्री बताउँछन्।
‘बाढी आएर क्षति भएपछि हाम्रो कम्पनीले पहिल्यै दाबी भुक्तानी गरिसकेको छ। तर, समग्रमा कुरा गर्दा अझै केही कम्पनीको टुंगिन बाँकी छ,’ अध्यक्ष क्षेत्री भन्छन्, ‘क्षति हुनेमा बनिरहेका र सञ्चालनमा रहेका दुवै आयोजना थिए, जसमा अधिकांश बनिरहेका आयोजनाको दाबी भुक्तानी टुंगिसकेको छ।’
सरकारले बाढीबाट क्षति पुगेका जलविद्युत् आयोजनाको मेसिन आयातमा छुट दिने भनेको तर नदिएका कारण भन्सारमा धेरै सामान अड्किएको क्षेत्रीको भनाइ छ। यसले केही समस्या सिर्जना गरेको उनले बताए। इप्पान अध्यक्ष कार्कीले पनि भन्सार छुट दिने विषय लागू नहुँदा आयोजनाले ल्याएका सामाग्री दुई महिनादेखि भन्सारमै थुप्रिएको जानकारी बताए।
अध्यक्ष क्षेत्रीले सरकारले घोषणा गर्ने, बचन दिने र कार्यान्वयन नगर्ने प्रवृत्तिले पनि समस्या सिर्जना गरेको उल्लेख गरे। नेपाल भौगोलिकरूपमा बढी जोखिमपूर्ण छ। एउटै खोलामा माथिदेखि तलसम्म गरी धेरै आयोजना सञ्चालनमा छन्। यसले पनि माथिको एउटा आयोजनामा क्षति पुग्दै गर्दा तलका अन्य आयोजनामा क्षति पुग्छ। त्यसैले सहजैरूपमा जलविद्युतको बिमा नहुने गरेको गुनासो आउने गरेका छन्।
कोरोना बिमाको दाबी भुक्तानी नभएर अविश्वासको वातावरण सिर्जना भइरहेको समयमा वर्षदिनसम्म पनि जलविद्युत आयोजनाको बिमा दाबी भुक्तानी नहुँदा मानिसमा बिमा कम्पनीप्रति अविश्वास बढेर गएको छ। तर, हालसम्म कसैले पनि जलविद्युत आयोजनाको बिमा दाबी भुक्तानी किन हुनसकेन भन्ने विषय स्पष्ट पारेका छैनन्। इप्पान उपाध्यक्ष आशीष गर्ग बिमा कम्पनीले आनाकानी गरेका कारण हालसम्म यो विषय पूर्ण रूपमा टुंगिन नसकेको बताउँछन्।
‘बिमा कम्पनीले कहिले पुनर्बिमा कम्पनी देखाएर त कहिले अन्य कारण भनेर दाबी भुक्तानीमा आनाकानी गरिरहेका छन्। यसले गर्दा एक वर्षसम्म पनि यो विषय टुंगिन सकेको छैन,’ उपाध्यक्ष गर्ग भन्छन्, ‘यद्यपि, केही कम्पनीले पनि दाबी भुक्तानी गरिसकेका छन्।’ उनले यो विषय छिटोभन्दा छिटो पूर्ण रूपमा टुंगिन आवश्यक भएको बताए।
बाढीका कारण २५ मेगावाटको काबेली बी-१ मा ५० करोड रुपैयाँ बराबरको क्षति भएको थियो। यस्तै, २२.१ मेगावाट क्षमताको तल्लो हेवा खोला जलविद्युत आयोजनामा १ अर्ब रुपैयाँ बराबरको, ४.७ मेगावाटको अपर पिलुवा–२ जलविद्युत् आयोजनामा ९० करोड बराबरको क्षति भएको थियो। बाढीले १४.९ मेगावाट क्षमताको हेवा खोला ए जलविद्युत आयोजनामा ९५ करोड रुपैयाँ बराबरको क्षति पुगेको अध्ययनकाक्रममा देखिएको थियो।
६ मेगावाटको सुपर हेवा खोला, ४ मेगावाटको पिलुवा खोला, १५.१ मेगावाटको सभा खोला–बी, ४.२ मेगावाटको सभा खोला–सी, ९.७ मेगावाटको इंवा खोला, १३.५ मेगावाटको सुपर काबेली–ए, १२ मेगावाटको सुपर काबेली खोला क्यासकेड, २१.९३ मेगावाटको काबेली–३, ३७.६ मेगावाटको काबेली–ए, ७.५ मेगावाटको हेवा खोला–ए, ९७.५ मेगावाटको इसुवा खोलामा रहेको आयोजनामा पनि क्षति पुगेको थियो।
यसैगरी, ४०.१ मेगावाटको इसुवा क्यासकेड, १४.१ मेगावाटको तल्लो इर्खुवा, १४.५ मेगावाटको माथिल्लो इर्खुवा, ३.५ मेगावाटको फेदी खोला, १०.४ मेगावाटको सभा खोला ए, १५.२ मेगावाटको इर्खुवा ‘बी’ मा क्षति पुर्याएको थियो। इसुवाखोला जलविद्युत् आयोजनामा ५० करोड रुपैयाँ बराबरको क्षति भएको थियो भने इंवा खोलामा पनि ५० करोड रुपैयाँ बराबरको क्षति भएको थियो।

