सन् २००५ तिर दूरसञ्चार क्षेत्रमा एनसेल प्रवेश गर्दा नीति निर्माता र अर्थविद्हरूले त्यसलाई नेपालमा बहुराष्ट्रिय कम्पनीको नयाँ युग सुरु भएको संकेत मानेका थिए। खुलाबजार अर्थतन्त्रतर्फ उन्मुख हुँदै गरेको नेपालका लागि त्यो प्रवेश सम्भावनाको ढोका थियो, वैदेशिक पुँजी, प्रविधि, व्यवस्थापन क्षमता र रोजगारीको नयाँ लहर आउने आशा गरिएको समय। एउटा सफल बहुराष्ट्रिय कम्पनी प्रवेश गरेपछि त्यसलाई पछ्याउँदै थप ठूला ब्रान्ड आउनेछन्, प्रतिस्पर्धा बढ्नेछ, उपभोक्ताले गुणस्तरीय सेवा पाउनेछन् र अर्थतन्त्रमा विश्वासको सिग्नल जानेछ। त्यस्तो अपेक्षा स्वाभाविकै पनि थियो।
तर, दुई दशक बितिसक्दा त्यो ढोका फेरि खुलेन। बरु त्यसपछि कुनै पनि ठूला बहुराष्ट्रिय कम्पनीले नेपालमा नयाँ प्रत्यक्ष लगानी गरेको ठोस उदाहरण सहजै भेटिँदैन। यता, केही विदेशी कम्पनीले लगानी घटाएका छन्, केहीले नेपालबाट बाहिरिने संकेत दिएका छन् र धेरैले नयाँ लगानी विस्तार भन्ने विषयमा निश्चितता देखाएका छैनन्। यसले बहुराष्ट्रिय कम्पनीको अभावलाई केवल लगानीको कमी वा बजारको सानो आकारसँग मात्रै जोडेर बुझ्न नहुने संकेत गर्छ। यो त नेपालको समग्र आर्थिक विश्वसनीयता, नीतिगत स्थिरता, कानुनी निश्चितता, सामाजिक दृष्टिकोण र राज्य संयन्त्रको व्यवहारसम्म पुगेर जोडिने विषय बनेको छ।
अहिले नेपालमा एक दर्जन बढी बहुराष्ट्रिय कम्पनी सञ्चालनमा छन्। ती कम्पनीले राम्रो आम्दानी पनि गरिरहेका छन्। कतिपय क्षेत्रका लागि नेपाललाई प्रतिफलका हिसाबले उर्बर भूमि भनेर व्याख्या गरिँदै आए पनि दुई दशकदेखि नयाँ बहुराष्ट्रिय कम्पनी नआउनु आफैंमा दुःखद र चिन्ताजनक छ। यो अवस्थाले एउटा प्रश्न उब्जाउँछ-नेपालमा बजार छ, मुनाफा छ, श्रम शक्ति छ तर किन नयाँ बहुराष्ट्रिय कम्पनी आउँदैनन्?
नीतिगत अन्योल र व्यावहारिक समस्या
नेपालले खुला अर्थनीति अँगीकार गरेको दाबी गर्छ। विदेशी लगानी स्वागत गर्ने नीति कागजमा आकर्षक पनि देखिन्छ। तर, व्यवहारमा बहुराष्ट्रिय कम्पनीका लागि आवश्यक पर्ने लगानीमैत्री वातावरण निर्माण हुन नसकेको गुनासो लामो समयदेखि उठ्दै आएको छ। युनिलिभर नेपालका साझेदार रविभक्त श्रेष्ठका अनुसार नेपालमा लगानीका लागि नीति कागजमा आकर्षक देखिए पनि व्यवहारमा प्रशासनिक झन्झट, कर अनिश्चितता, कानुनी कमजोरी र पूर्वाधार अभावले विदेशी लगानीकर्तालाई निरुत्साहित गरेको छ।
सन् १९९२ मा नेपालमा व्यावसायिक उत्पादन थालेको युनिलिभरले ३३ वर्षको यात्रामा राम्रो प्रतिफल लिए पनि अन्य बहुराष्ट्रिय कम्पनी नेपालमा आकर्षित नहुनु दुर्भाग्यपूर्ण भएको श्रेष्ठ बताउँछन्। ‘अहिले सञ्चालनमा रहेका बहुराष्ट्रिय कम्पनीहरू नै पूर्ण सन्तुष्ट छैनन् र दिएका सुझाव सरकारले कहिल्यै गम्भीर रूपमा कार्यान्वयन नगरेको अनुभूति गरेका छन्’, साझेदार श्रेष्ठ भन्छन्, ‘यही उपेक्षाको परिणाम स्वरुप एनसेलपछि नयाँ बहुराष्ट्रिय कम्पनीको प्रवेश रोकिएको हुन सक्छ।’
बहुराष्ट्रिय कम्पनीको प्रवेशले देशमा रोजगारी सिर्जना, दक्ष जनशक्ति विकास, वैदेशिक मुद्रा भण्डारमा वृद्धि र प्रविधि हस्तान्तरणमा ठूलो योगदान पुर्याउन सक्छ। यसले स्थानीय उद्योगलाई प्रतिस्पर्धीे र आधुनिक बनाउँछ, उपभोक्तालाई गुणस्तरीय र विविध वस्तु तथा सेवामा पहुँच उपलब्ध गराउँछ। तर, नेपालमा यस्ता कम्पनी आउनुअघि चाहिने आधारभूत पूर्वसर्त स्पष्ट नियम, पूर्वानुमेय कर प्रणाली, छरितो प्रशासन, न्यायिक र नियामकीय निश्चितता, सुरक्षित व्यवसाय वातावरण यीमध्ये धेरै पक्षमा असन्तोष कायम छ।

केही विदेशी कम्पनीले लगानी घटाएका छन्, केहीले नेपालबाट बाहिरिने संकेत दिएका छन् र धेरैले नयाँ लगानी विस्तार विषयमा निश्चितता देखाएका छैनन्। यसले बहुराष्ट्रिय कम्पनीको अभावलाई केवल लगानीको कमी वा बजारको सानो आकारसँग मात्र जोडेर बुझ्न नहुने संकेत गर्छ।
युवराज खतिवडा, पूर्वअर्थमन्त्री
सरकारले व्यवसाय दर्ता प्रक्रिया सरल बनाउने, कर प्रणाली स्पष्ट पार्ने र पूर्वाधार सुधार्न पहल गर्नुपर्ने देखिन्छ। लगानीमैत्री वातावरण निर्माण भए भविष्यमा थप विदेशी लगानीकर्तालाई नेपाल आकर्षित गर्न सकिने विज्ञ र उद्यमीहरूको जोड छ। तर, समस्या सुझाव दिनुमा होइन, कार्यान्वयनमा छ-यही कारणले बहुराष्ट्रिय कम्पनीलाई नेपालमा दीर्घकालीन जोखिम धेरै देखिन थालेको व्यवसायीको बुझाइ छ।
स्थानीय व्यवसायीको भूमिकाः ‘गुड एम्बेसेडर’ असन्तुष्ट हुँदा
गैरआवासीय नेपाली संघ (एनआरएनए)का संस्थापक अध्यक्ष डा. उपेन्द्र महतोले सरकारले निजी क्षेत्रलाई लगानीकर्ताको हैसियतमा मात्र होइन, देशको ‘गुड एम्बेसेडर’का रूपमा व्यवहार गर्न नसक्नु पनि ठूलो कमजोरी भएको बताउँछन्।
‘सरकारहरू छोटो आयुका हुन्छन्, दीर्घकालीन ग्यारेन्टी दिन सक्दैनन्। विदेशी लगानीकर्ताले विश्वास गर्ने भनेको स्थानीय व्यवसायीलाई हो’, महतो भन्छन्, ‘स्वदेशी व्यवसायीलाई हेर्ने दृष्टिकोण नकारात्मक हुँदा त्यसको असर विदेशी लगानीकर्तामाझ देखापर्यो। नेपाल लगानीका लागि कस्तो छ भनेर सोध्दा दिने उत्तरमा उनीहरूले चित्त नबुझाएका कारण लगानी नआएको हो।’
वास्तवमै अहिले उपलब्ध विदेशी लगानीका धेरैजसो कम्पनी लगानी सम्मेलनमार्फत आएका होइनन्।
महतोको तर्कमा एउटा व्यावहारिक पक्ष छ-विदेशी लगानीकर्ता नेपालमा लगानी गर्नुअघि सरकारका भाषण वा नीति दस्तावेज मात्र पढेर निर्णय गर्दैनन्। उनीहरू स्थानीय उद्योगपति, कानुनी सल्लाहकार, अडिटर, वित्तीय विज्ञ, बजार जानकार र यहाँ पहिलेबाट बसेका बहुराष्ट्रिय कम्पनीसँग कुरा गर्छन्। सरकारका प्रतिनिधिले त प्रायः ‘देश राम्रो छ, नीति राम्रो छ’ नै भन्छन्। वास्तविक अनुभव भने निजी क्षेत्रसँग हुन्छ। तर, यदि निजी क्षेत्र आफैं असन्तुष्ट छ, आफैंलाई शंकाको दृष्टिले हेरिएको महसुस गर्छ वा ‘नीति व्यवहारमा लागू हुँदैन’ भन्ने अनुभव बाँड्छ भने नयाँ लगानीकर्ता स्वाभाविक रूपमा हिच्किचाउँछ।

कतिपय अवस्थामा स्वदेशी लगानीकर्ताभन्दा बढी सुविधा विदेशीलाई दिइएको छ भन्ने बहस पनि छ। तर, रोचक कुरा के भने नेपालमै लगानी गरेका विदेशी लगानीकर्ता (बहुराष्ट्रिय कम्पनी)ले देखाएका समस्या समाधान गर्न एवं नेपालमै भएका कम्पनीसँग लगानी बढाउने विषयमा सरकारले नियमित र संस्थागत संवाद गरेको पाइँदैन। समयानुकूल ऐन कानुन र व्यावहारिक शैली भए लगानी सम्मेलनको ठूलो कार्यक्रम नै जरुरी नपर्न सक्ने तर्क गरिन्छ। वास्तवमै अहिले उपलब्ध विदेशी लगानीका धेरैजसो कम्पनी लगानी सम्मेलनमार्फत आएका होइनन्। उनीहरू विश्वास र सुविधा खोज्दै आफ्नै व्यावसायिक गणनाबाट आएका हुन्।
विश्व बजारमा नवउदीयमान दक्षिण कोरिया, रुवान्डा, कम्बोडिया, भियतनाम, सिंगापुरजस्ता देश विदेशी लगानी भित्र्याएरै विकास गतिमा अघि बढेका उदाहरण हुन्। सामान्यतया स्वदेशी लगानीकर्तासँग पुँजी र व्यवस्थापन क्षमता कमजोर भएको अवस्था वा ठूलो मात्रामा पुँजी तथा व्यवस्थापकीय क्षमता आवश्यक भएका बेला विदेशी लगानी ल्याइन्छ। तर, अहिले नेपाली लगानीकर्ताको क्षमता अभिवृद्धि भएर हजारौं व्यक्तिलाई रोजगारी दिन सक्ने उद्यम खुलिसकेका छन्। त्यसले पनि एउटा अर्काे प्रश्न उठाउँछ-जब घरेलु निजी क्षेत्र बलियो हुँदै छ, तब उसलाई साझेदार मानेर विदेशी पुँजी भित्र्याउने वातावरण किन बन्न सकेन?
राजनीतिक दलहरूले वर्षौंदेखि नयाँ बनाउँछु वा संशोधन गर्छौं भनेका कानुन अझै बनेका छैनन्।
नेपालमा बढी लगानी गर्ने देशमा भारत छ। तर, भारत र चिनियाँ लगानीकर्ताले नेपाली कामदार कम प्रयोग गरेको गुनासो पनि छ। अझ भारतले निर्माण सामग्रीसमेत आफ्नै देशबाट ल्याउने गरेको उदाहरण दिइन्छ। तर, त्यही भारत, बंगलादेश, श्रीलंका, भुटान आदिमा बहुराष्ट्रिय कम्पनीले एकाध आफ्ना कर्मचारी ल्याएर बाँकी स्थानीय कर्मचारी प्रयोग गरेर सफलतापूर्वक कम्पनी चलाइरहेका छन्। नेपालमा चाहिँ स्थानीय रोजगारी र स्थानीय उद्योगसँगको सहकार्य सधैं बहसको विषय बन्ने तर, व्यवहारमा नीति अस्पष्ट रहने देखिन्छ।
राजनीतिक दलहरूले वर्षौंदेखि नयाँ बनाउँछु वा संशोधन गर्छौं भनेका कानुन अझै बनेका छैनन्। व्यावहारिक समस्या सरलीकृत गर्छौं भनेर चुनावी घोषणापत्रमा उल्लेख हुन्छ, तर सरकारमा पुगेपछि फेरि त्यही कुशासन सुरु हुन्छ-व्यवसायी र लगानीकर्ताको अनुभूति यही हो। यसले लगानी वातावरण सुधारिन सकेको छैन।
कानुनी अनिश्चितता र ‘आउटडेटेड’ संरचना
अधिवक्ता एवं प्राध्यापक डा. गणेश रेग्मीले कानुनको अपर्याप्तता र त्यसमा रहेका छिद्रका कारण कतिपय स्थानीय उद्योग, कम्पनी एवं एजेन्टले बहुराष्ट्रिय कम्पनीउपर मुद्दा हाल्ने र कानुनी विवाद पारिरहने भएकोले बहुराष्ट्रिय कम्पनीको रोजाइ नेपाल नपर्ने गरेको बताउँछन्।
‘नेपालमा हरेक बहुराष्ट्रिय कम्पनीले मुद्दा खेप्नु वा कानुनी झमेला बेहोर्नुपर्ने अवस्था सिर्जना भएको छ,’ रेग्मी भन्छन्, ‘तुलनात्मक रूपमा बहुराष्ट्रिय कम्पनीका काम पारदर्शी हुन्छन् । त्यसैले यस्ता कम्पनीमा कामदार, तलब, सुविधा, जग्गाजस्ता विषयमा मुद्दा त्यति पर्दैन। यहाँका हरेक बहुराष्ट्रिय कम्पनीले उत्पादनमा ‘ट्रेडमार्क’का विषयमा मुद्दा खेपिरहेका छन्।’
उनले उठाएको मूल प्रश्न कानुनी निश्चितता हो। नेपालले दस्तखत गरेका विदेशी कानुन नेपाली कानुनभन्दा माथि रहने भन्ने व्यवस्था गरिएको सन्धि ऐन, २०४७ मा छ तर, पालना भएको देखिँदैन भन्ने आलोचना छ। नेपालले ट्रेडमार्कसम्बन्धी पेरिस सन्धिमा दस्तखत गरेको छ, तर व्यवहारमा पालना कमजोर छ। विश्व व्यापार संगठन (डब्लुटीओ), द्विपक्षीय लगानी प्रवद्र्धन तथा संरक्षण सम्झौता (बिप्पा)लगायतका प्रतिबद्धताको निरन्तर उल्लंघन भएको आरोप पनि छ। अदालतबाट पनि आफूखुसी व्याख्या र फरक-फरक निर्णय आएका उदाहरण देखाइन्छ। बाध्यकारी अन्तर्राष्ट्रिय कानुन पालना नहुने कारणबाट बहुराष्ट्रिय कम्पनी नेपालबाट पलायन हुने अवस्था आउन सक्ने रेग्मीको विश्लेषण छ।
खासगरी विदेशी लगानी एवं बहुराष्ट्रिय कम्पनीसम्बन्धी नेपालको मुख्य कानुनको रूपमा ‘पेटेन्ट डिजाइन र ट्रेडमार्क ऐन २०२२’ उल्लेख गरिन्छ, जुन अत्यन्त ‘आउटडेटेड’ भएको तर्क छ। आधा शताब्दीअघि जारी भएको ऐनले नयाँ विज्ञान प्रविधि, कम्प्युटर जमाना र डिजिटल कारोबारको जटिलता समेट्न सक्दैन। यस्तो अवस्थामा बौद्धिक सम्पत्ति (आईपी), ब्रान्ड सुरक्षा, डिजिटल सामग्री, लाइसेन्सिङ, रोयल्टी, टेक्नोलोजी ट्रान्सफर-यी सबैमा अस्पष्टता बढ्छ। अस्पष्टता भनेको लगानीकर्ताका लागि जोखिम हो।
विभिन्न कालखण्डमा भएका सभा-सम्मेलनमा गरिएका प्रतिबद्धता कागजमै सीमित भएको आरोप पनि यहीँ जोडिन्छ। पर्याप्त विदेशी लगानी नआउनुमा विदेशी लगानीकर्ता होइन, सरकार नै मुख्य दोषी देखिन्छ भन्ने धारणा बलियो हुँदै गएको छ। विदेशबाट आएका बहुराष्ट्रिय कम्पनी राम्रै गरिरहेका छन्। राजस्व तिर्दैछन्, रोजगारी दिँदैछन्। तर, नयाँ लगानी आउन समस्या भइरहेको छ।
कन्ट्री रेटिङ, राजनीतिक स्थिरता र ‘सन्देश’
एमएस गु्रपका प्रबन्ध निर्देशक तथा नेपालमा अन्तर्राष्ट्रिय चेन होटल म्यारियटका तीन होटल सञ्चालनमा ल्याएका शशिकान्त अग्रवालका अनुसार कुनै पनि बहुराष्ट्रिय कम्पनी वा विदेशी लगानी आउन त्यो मुलुकको कन्ट्री रेटिङ महत्वपूर्ण हुन्छ। राम्रो रेटिङ भएको देशमा लगानी वातावरण छ भन्ने सकारात्मक सन्देश जान्छ र लगानीकर्ता आकर्षित हुन्छन। तर, नेपालको हकमा कन्ट्री रेटिङ पनि सकारात्मक नरहेको र राजनीतिक स्थायित्व नहुँदा बहुराष्ट्रिय कम्पनीको प्रवेश रोकिएको हुन सक्ने उनको भनाइ छ। ‘अहिले नेपालको कन्ट्री रेटिङ ‘बीबी माइनस’ छ,’ उनी भन्छन्।
‘एउटा बहुराष्ट्रिय कम्पनी आउँदा अन्तर्राष्ट्रिय जगत्मा त्यो मुलुकबारे सकारात्मक सन्देश जान्छ,’ अग्रवाल भन्छन्, ‘बहुराष्ट्रिय कम्पनीले कुनै पनि मुलुकमा लगानी विस्तार गर्दा सम्बन्धित देशको आर्थिक अवस्था, राजनीतिक स्थायित्व, प्रतिफल फिर्ता लैजाने वातावरण, कर्मचारीको सुरक्षालगायत विषयमा अध्ययन गर्छन्। लामो समयदेखि कुनै पनि बहुराष्ट्रिय कम्पनी नआउनु र भएकाहरू पनि खुसी नहुनुले नेपालको छवि अन्तर्राष्ट्रिय जगत्मा सकारात्मक छैन।’
यही बीच, बाह्य ‘सन्देश’ झन् नकारात्मक हुने घटना पनि भए। जेनजी आन्दोलनका क्रममा दुईवटा विदेशी चेन होटल हायात रिजेन्सी र हिल्टनमा भएको आक्रमण एवं एनसेलको कर्पाेरेट कार्यालयमा गरिएको आगजनीले विश्वभरका लगानीकर्तामा नकारात्मक सन्देश गएको व्यवसायीको भनाइ छ। यस्ता घटना केवल एक पटकको सुरक्षा समस्या मात्र होइन, यसले ‘राज्यले लगानीकर्ताको सुरक्षा कति सुनिश्चित गर्न सक्छ?’ भन्ने प्रश्न उठाउँछ। यस्तो प्रश्नको असर दीर्घकालीन हुन्छ।

पूर्वअर्थमन्त्री डा. युवराज खतिवडाले राजनीतिक अस्थिरताकै कारण सरकारले गर्छु भनेका धेरैजसो आर्थिक सुधारका प्रतिबद्धता व्यवहारमा उतारिन नसकेको स्वीकार्छन्। ‘लगानीकर्तालाई आश्वस्त तुल्याउने गरी कर्मचारी संयन्त्र सक्रिय हुन नसकेको र एकद्वार प्रणाली कागजमै सीमित भएको छ’, खतिवडा भन्छन्।
उनका अनुसार पुरानै औद्योगिक व्यवसाय ऐन, वैदेशिक लगानी तथा सार्वजनिक/निजी साझेदारी ऐनमा अझै गहिरो संशोधन आवश्यक छ। नयाँ कानुन बनाउने घोषणा मात्र पर्याप्त नहुने भन्दै विस्तृत सम्भाव्यता अध्ययन अनिवार्य हुने उनको बुझाइ छ। तर, हालको अवस्थामा यस्ता अध्ययन सम्भव नहुनु चिन्ताको विषय बनेको र सरकारका उधारो प्रतिबद्धता बढ्दै जानुले अर्थतन्त्रमा थप दबाब सिर्जना गरिरहेको उनको निष्कर्ष छ।
लगानीकर्तालाई हेर्ने दृष्टिकोणमै समस्या
बहुराष्ट्रिय कम्पनी सूर्य नेपालका उपाध्यक्ष रवि केसीको भनाइमा नेपालमा मल्टिनेसनल कम्पनी नआउनु नीतिगत अस्थिरता, संरचनागत अवरोध र उद्योगीप्रति नकारात्मक सामाजिक दृष्टिकोणको संयुक्त परिणाम हो। नेपालमा उद्योगी र लगानीकर्तालाई हेर्ने दृष्टिकोण अझै पनि शंकामूलक छ। पैसा कमाउनु नै अपराध ठानिने संस्कार, उद्योगीलाई दलाल वा शोषकका रूपमा चित्रण गर्ने प्रवृत्ति र सफल व्यवसायीप्रति बढ्दो सामाजिक आक्रोशले लगानीकर्तालाई असुरक्षित महसुस गराउँछ।
पछिल्ला वर्षमा उद्योगीको जीवन सुरक्षा, प्रशासनिक हस्तक्षेप र सामाजिक दबाब बढ्दै गएको अनुभूति भएको केसी बताउँछन्। सबैभन्दा ठूलो जनसंख्याका भारत र चीनको बीचमा रहेको नेपालमा उत्पादित वस्तु निर्यातका लागि ठूलो अवसर भए पनि नेपाल बहुराष्ट्रिय लगानीकर्ताको रोजाइ बन्न नसक्नुले देशको समग्र लगानी वातावरणमाथि गम्भीर प्रश्न उठाएको उनको भनाइ छ।
|
नेपालबाट बाहिरिएका बहुराष्ट्रिय कम्पनी
सोल्टीको विदेशी स्वामित्व
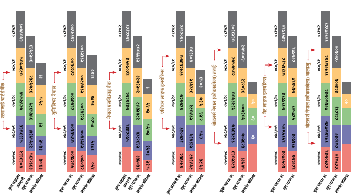
पाँचतारे होटल सोल्टी (एसएचएल)मा रहेको विदेशी लगानी पनि २०७७ मा फिर्ता भएको छ। विदेशी लगानीकर्ता हङकङको ‘होलिडे इन्स इन्भेस्टमेन्ट लिमिटेड’ ले सोल्टीमा रहेको १० प्रतिशत सेयर अर्थात् ८४ लाख २५ हजार ७ सय ६ कित्ता संस्थापक सेयर ४७ करोड २३ लाख ४५ हजार रुपैयाँमा बिक्री गरेर बाहिरिएको हो।
सन् २००० मा होलिडे इन्सले इन्टरनेसनल फाइनान्स कर्पोरेसन (आइएफसी) बाट खरिद गरेको सोल्टीको सेयर २१ वर्षपछि बिक्री गरेको हो।
आजियाटा
नेपाल लगानीका लागि उपयुक्त नभएको भन्दै एनसेलको सेयर बिक्री गरेर बाहिरिने घोषणा आजियाटाले गर्यो। पुँजी लगानीका हिसाबले एनसेलले लैजाने लाभांशको दर नेपालबाट सबैभन्दा बढी हो।
कुल १० करोड रुपैयाँ पुँजी लगानी भएको एनसेलले साढे २३ अर्ब रुपैयाँसम्म लाभांश लगेको इतिहास छ। एनसेलको कारोबार निरन्तर घट्दै गएको छ। खासगरी सन् २०१७ पछि कारोबार निरन्तर खुम्चिँदा लाभांश दर पनि साँघुरिँदै गएको छ। २०१७ मा ५७ अर्ब १० करोड २० लाख रुपैयाँ बराबर कारोबार गरेको एनसेलले २०२२ मा ३९ अर्ब ७२ करोड ५० लाख र २०२३ मा ३७ अर्ब ४४ करोड २० लाखमात्र कारोबार गरेको छ। २०६१ भदौ १६ मा स्थापित एनसेलको सुरुआती स्वामित्व स्पाइस नेपालसँग रहेका बेला कम्पनीले ‘मेरो मोबाइल’ का नामबाट सेवा दिएको थियो।
सिल्भर हेरिटेज
२०७४ देखि सञ्चालनमा आएको भैरहवाको पाँचतारे स्तरको रिसोर्ट टाइगर प्यालेस २०८० साउनमा बिक्री भयो। अस्ट्रेलियामा मुख्यालय रहेको सिल्भर हेरिटेजले लामो समयको विवादपछि गैरआवासीय नेपाली (एनआरएनए)लाई आफ्नो सम्पूर्ण सेयर स्वामित्व बिक्री गरेर नेपालबाट बाहिरियो। सिल्भर हेरिटेज इन्भेस्टमेन्ट प्रालि हङकङको बहुराष्ट्रिय कम्पनी सिल्भर हेरिटेज ग्रुप नेपालको सहायक कम्पनी हो।
सिल्भर हेरिटेज गु्रपले आफ्नो सहायक कम्पनी सिल्भर हेरिटेजमार्फत सञ्चालन गर्दै आएको थियो। अहिले अमेरिकामा स्थापना गरेको हिमालयन टाइगर इन्भेस्टमेन्ट इंकमार्फत सिल्भर हेरिटेज लिमिटेडमा भएको अस्ट्रेलियाली कम्पनीको सम्पूर्ण सेयर खरिद गरी सञ्चालन गरिएको छ। अस्ट्रेलियाको स्टक एक्सचेन्जमा सूचीकृत सिल्भर हेरिटेजले भैरहवामा २०७४ अन्तिमदेखि रिसोर्ट सञ्चालनमा ल्याएको थियो।
आउन चाहेर पनि रोकिएका बहुराष्ट्रिय कम्पनी
डेंगोटे सिमेन्ट
नाइजेरियाको डेंगोटे समूहले नेपालमा सिमेन्ट उत्पादनमा लगानी गर्ने सम्झौता २०७० मा गरेको थियो। विभिन्न अफ्रिकाली मुलुकमा लगानी विस्तार गरिरहेको डेंगोटेले कैलालीमा ६० करोड अमेरिकी डलर लगानीमा सिमेन्ट उत्पादन गर्ने प्रस्ताव गरे पनि खानीलगायत विभिन्न समस्या आएपछि सञ्चालन नगरी फर्किएको थियो। सो सिमेन्ट उद्योग अफ्रिकामा लगानी गरिरहेका नेपाली व्यवसायी हिक्मत थापाको समूहले नेपाल ल्याउन पहल गरेका थियो।
|
एनसेलको चुनौती र ‘असमान व्यवहार’
एनसेलका प्रमुख कार्यकारी अधिकृत माइकल फोलेले नीतिगत अन्योल, असमान व्यवहार र कानुनी अनिश्चितताले विदेशी लगानीकर्ताको मनोबलमा नकारात्मक असर पारेको बताएका छन्। एउटै मुलुकमा सञ्चालनमा रहेका समान संस्था नेपाल टेलिकम र निजी सेवाप्रदायकबीच अनुमतिपत्र नवीकरण शुल्क, ब्याजदर र भुक्तानी समयसीमा फरक व्यवहारले बजारमा प्रतिस्पर्धा आधार कमजोर बनाएको उनको भनाइ छ। नियामक निकायले समान सेवाप्रदायकलाई फरक मापदण्डले व्यवहार गर्नु दीर्घकालीन नवप्रवर्तन र सेवा गुणस्तरमा नकारात्मक प्रभाव पार्ने फोलेको चेतावनी छ।

दुई दशकअघि आएको एनसेलका १ करोड ४० लाख बढी ग्राहक, अर्बौं रुपैयाँको वार्षिक राजस्व योगदान, हजारौं प्रत्यक्ष-अप्रत्यक्ष रोजगारी र आधुनिक दूरसञ्चार पूर्वाधारमा निरन्तर लगानी गरेको कम्पनीका रूपमा यसलाई नेपालमा सफल विदेशी लगानीको उदाहरण मानिँदै आएको थियो। तर, आज यही कम्पनी स्वामित्व संरचना, अनुमतिपत्र नवीकरण र नियामक व्यवहारका कारण अनिश्चितताको केन्द्रमा पुगेको छ। यही ‘अनिश्चितता’ले विदेशी लगानीकर्तालाई दुईपटक सोच्न बाध्य बनाउँछ-‘सफल भएर पनि सुरक्षित छैन भने, नयाँ आएर के हुन्छ?’
लगानी बोर्डको भूमिका र राज्य संयन्त्रको सोच
लगानी बोर्ड नेपालका प्रमुख कार्यकारी अधिकृत सुशील ज्ञवाली समग्र नेपाली समाजमा निजी क्षेत्रप्रतिको दृष्टिकोण अझै पनि सकारात्मक बन्न नसकेको बताउँछन्। निजी क्षेत्रलाई केवल नाफा कमाउने माध्यमका रूपमा हेर्ने धारणा गहिरो रूपमा जरा गाडेर बसेको, जसले निजी क्षेत्रको वास्तविक योगदानलाई ओझेल पारेको उनको धारणा छ। रोजगारी सिर्जना, आर्थिक गतिविधि विस्तार, पूर्वाधार विकास र समग्र समृद्धिमा निजी क्षेत्रले खेलेको भूमिकालाई पर्याप्त रूपमा स्वीकार नगर्ने प्रवृत्ति अझै कायम रहेको उनी बताउँछन्।
ज्ञवालीका अनुसार राज्य संयन्त्रभित्र समेत निजी क्षेत्रप्रति हेर्ने सोचमा सुधार आवश्यक छ। नीति निर्माणदेखि कार्यान्वयनसम्म पुग्दा निजी क्षेत्रलाई साझेदारको रूपमा होइन, शंकाको दृष्टिले हेर्ने प्रवृत्ति देखिने गरेको उनको भनाइ छ। यही कारण सार्वजनिक/निजी साझेदारीअन्तर्गत सञ्चालन हुने आयोजनाहरू अपेक्षित रूपमा अघि बढ्न नसकेको उनले औंल्याएका छन्। सार्वजनिक/निजी साझेदारीसँग सम्बन्धित कानुनी तथा नीतिगत संरचनामा रहेका अस्पष्टता, जटिल प्रक्रिया र बहुनिकायको हस्तक्षेपले निजी लगानीलाई निरुत्साहित गरिरहेको उनको निष्कर्ष छ।
‘सरकारले निजी क्षेत्रसँग सम्झौता गर्दा बलियो ‘नेगोसेसन’मा जानुपर्छ र मुलुक तथा जनताको हितलाई केन्द्रमा राख्नुपर्छ। तर, त्यसो गर्दैमा निजी क्षेत्रले लिने जोखिम, गर्ने लगानी, दीर्घकालीन प्रतिफलको अनिश्चितता र सरकारबाट प्राप्त हुने सुविधा तथा दायित्वबारे स्पष्ट सहमति अनिवार्य छ’, ज्ञवाली भन्छन्। अहिले दुवै पक्षले यी विषयमा पर्याप्त स्पष्टता नदेखाउँदा सहकार्यमा आधारित धेरै आयोजना कागजमै सीमित हुने अवस्था आएको उनको विश्लेषण छ।
ज्ञवाली पछिल्लो समय केही सकारात्मक परिवर्तन देखिन थालेको पनि उल्लेख गर्छन्। ठूला निजी कम्पनीले नेपालमा लगानी विस्तार गर्न चासो देखाउन थालेको, पूर्वाधार, ऊर्जा र उद्योग क्षेत्रमा प्रस्ताव आउन थालेको उनको दाबी छ। यद्यपि लगानीमैत्री वातावरण अझै पूर्ण रूपमा निर्माण हुन नसकेको स्वीकार गर्दै लगानी बोर्डले सरकारसँग सहकार्य गरेर नीतिगत सुधार, प्रक्रियागत सहजता र लगानीकर्ताको विश्वास बढाउने दिशामा काम गरिरहेको उनी बताउँछन्।
जग्गा व्यवस्थापन निजी लगानीका लागि सबैभन्दा ठूलो चुनौती बनेको उल्लेख गर्दै ज्ञवालीले यस क्षेत्रमा पनि सुधार प्रक्रिया अघि बढेको बताए। अब कुनै पनि आयोजनाका लागि आवश्यक जग्गामा हदबन्दी नलाग्ने व्यवस्था गरिएको छ। साथै, एउटा प्रयोजनमा प्रयोग भइसकेको जग्गा भविष्यमा अर्काे उद्योग सञ्चालनका लागि प्रयोग गर्न सकिने गरी कानुनी प्रावधान ल्याउने तयारी भइरहेको उनले जानकारी दिए। जग्गा प्राप्ति र पुनःप्रयोगसम्बन्धी अवरोध हटाउन लगानी बोर्डले सरोकारवाला निकायसँग व्यापक छलफल गरिरहेको बताउँदै उनले यी सुधारले निजी लगानी विस्तारमा महत्वपूर्ण टेवा पुर्याउने विश्वास व्यक्त गरे।
बहुराष्ट्रिय कम्पनीलाई बेवास्ता गर्नुको असर
विदेशी लगानीका उद्योगमा थप लगानी बढाउन र नयाँ विदेशी लगानी ल्याउन सरकारले नेपालस्थित सबै बहुराष्ट्रिय कम्पनीसँग गरिएको छलफलबाट आएका निष्कर्षलाई नीति-नियममा समावेश गर्नुपर्छ। नेपालमा भएका विदेशी लगानीका कम्पनीले नीतिगत र व्यावहारिक के-कस्ता समस्या झेल्नुपरेको छ र समाधानका लागि के-कस्ता परिवर्तन आवश्यक पर्छ भन्ने कुरा खोजी गर्नुपर्छ। नयाँ लगानीकर्ताले के अपेक्षा गरेका छन भन्ने कुरा बुझ्नुपर्छ। तर, सरकारले अहिलेसम्म कसैसँग व्यवस्थित छलफल र परामर्श लिएको पाइँदैन भन्ने गुनासो छ।
‘हरेकजसो प्रधानमन्त्री, सम्बन्धित मन्त्री र सचिवहरूलाई भनेको छु, तर कसैले चासो दिएजस्तो लाग्दैन,’ युनिलिभरका साझेदार श्रेष्ठ भन्छन्, ‘हुन त आर्थिक क्षेत्र विकास सरकारको प्राथमिकतामा कहिल्यै नपरेका कारण पनि यस्तो भएको हुन सक्छ।’

सरकारलाई बर्सेनि अर्बौं रुपैयाँ राजस्व तिर्दै लाखौंलाई रोजगारी दिँदै आएका बहुराष्ट्रिय कम्पनीका प्रतिनिधिलाई ‘समस्या छ कि छैन, समाधान गर्न के चाहिन्छ?’ भनेर एकपटक पनि सोधखोज नभएको व्यवसायीको गुनासो छ। भूकम्प, कोभिड १९, रुस-युक्रेन युद्धपछि आएको आर्थिक मन्दी, जेनजी आन्दोलनपछिको असर। यी सबै बहुराष्ट्रिय कम्पनीले पनि भोगिरहेको सूर्य नेपालका उपाध्यक्ष केसीको भनाइ छ।
उनीहरू पहिला स्थानीय व्यवसायी, उद्योगपति, कानुनी सल्लाहकार, अडिटर र वित्तीय विज्ञसँग कुरा गर्छन्।
‘बहुराष्ट्रिय कम्पनी सन्तुष्ट नहुनु भनेको मुलुकमा विदेशी नयाँ लगानीकर्ता आउनका लागि बाटो बन्द हुनुजस्तै हो,’ केसी भन्छन्, ‘विदेशी लगानीकर्ताले जुनसुकै मुलुकमा लगानी गर्दा राजनीतिक, आर्थिक र सामाजिक अवस्थाको अध्ययन गर्छ। आफ्नो लगानी सुरक्षित छ वा छैन भन्ने विषयलाई गहनतापूर्वक मूल्यांकन गर्छ।’
लगानीकर्ताको विश्वासपात्रः लगानीकर्ता नै
महतोको भनाइमा लगानीकर्ता पहिले सरकारकहाँ जाँदैनन्। उनीहरू पहिला स्थानीय व्यवसायी, उद्योगपति, कानुनी सल्लाहकार, अडिटर र वित्तीय विज्ञसँग कुरा गर्छन्। ‘सरकारका व्यक्तिहरूले त कहिल्यै ‘हाम्रो देश खराब छ’ भन्दैनन्। कानुन र नीति कागजमै राम्रा देखिन्छन्,’ उनी भन्छन्, ‘वास्तविक अनुभव त व्यवसायीसँग हुन्छ। त्यही क्रममा एउटा महत्वपूर्ण प्रश्न उनीहरूको हुन्छ-‘यदि म आएँ भने, तिमी मसँग सहकार्य गर्छाै?’ हाम्रो जवाफ हुन्छ-‘नो।’
कतिपय स्थानीय व्यवसायी सहकार्यको नाममा ‘स्वेट सेयर’, सुविधा शुल्क वा बिनालगानी साझेदारीको प्रस्ताव राख्छन्। आफूले पैसा नलगाउने तर विदेशीले लगानी गरेबापत सेयर माग्ने प्रवृत्तिले विदेशी लगानीकर्तामा शंका पैदा हुने महतो बताउँछन्। ‘यहाँ केही गडबड छ’, भन्ने अनुभूति त्यहीँबाट सुरु हुन्छ।’
लगानीकर्ता आफैं वा आफ्ना प्रतिनिधि पठाएर सम्बन्धित मुलुकमा सरकारी, गैरसरकारी निकायदेखि राजदूतावाससम्म पर्याप्त छलफल गर्छन्, तर उनीहरूले सबैभन्दा बढी विश्वास गर्ने भनेको सम्बन्धित मुलुकमा पहिलेबाट रहेका बहुराष्ट्रिय कम्पनीको अनुभव र सुझावलाई हो। नेपालमा रहेका बहुराष्ट्रिय कम्पनीले लगानी विस्तार गर्न चाहिरहेका छन्, नेपाललाई ‘भर्जिन ल्यान्ड’ भनेर व्याख्या पनि गर्छन् तर समस्या सुल्झिनुपर्छ-एकद्वार नीति प्रभावकारी कार्यान्वयन हुनुपर्छ, बौद्धिक सम्पत्ति संरक्षणसम्बन्धी कानुन अविलम्ब ल्याउनुपर्छ, कच्चा पदार्थका भन्सार दर घटाउनुपछ, र निजी क्षेत्रका सुझाव गम्भीर रूपमा कार्यान्वयन गर्नुपर्छ भन्ने केसीको जोड छ।
उद्योग-वाणिज्य प्रवर्द्धन संवाद परिषद्ः ‘सुझाव लिने, कार्यान्वयन नगर्ने’
तत्कालीन प्रधानमन्त्री केपी शर्मा ओली प्रधानमन्त्री भएका बेला बहुराष्ट्रिय कम्पनीसँग संवाद अगाडि बढाउन उद्योग-वाणिज्य प्रवर्द्धन संवाद परिषद् गठन गरिएको थियो। त्यसबेला बहुराष्ट्रिय कम्पनीतर्फबाट प्रधानमन्त्रीलाई लिखित सुझाव बुझाए पनि त्यसको सुनुवाइ नभएको व्यवसायीको भनाइ छ। ‘सुझाव लिने तर कार्यान्वयन नगर्ने’ प्रवृत्तिका कारण विदेशी लगानीकर्ताले सरकारी संयन्त्रलाई विश्वास गर्न छाडिसकेको तर्क पनि यसैसँग जोडिन्छ।
एक बहुराष्ट्रिय कम्पनी साझेदारका अनुसार अन्य मुलुकमा बहुराष्ट्रिय कम्पनीका समस्या तत्काल समाधान गरिन्छ। तर, नेपालमा सुझाव कार्यान्वयन नहुने र विदेशी लगानी ल्याउँछु भनेर भाषण मात्र गर्ने प्रवृत्ति हावी हुँदा नयाँ लगानीकर्ता आकर्षित नभएको उनी बताउँछन्।
कर्मचारीतन्त्रः ढिलासुस्ती, राजनीति र बहुनिकायको झन्झट
कर्मचारीले ढिलासुस्ती गर्ने, झन्झट दिने, एउटै कामका लागि दर्जनौं निकाय धाउनुपर्ने, नीति-नियमको फरक-फरक व्याख्या गरेर अवरोध गर्ने। यी गुनासा लगानीकर्ताबाट बारम्बार सुनिन्छन्। एउटा कर्मचारीले चाह्यो भने लगानी हतोत्साहित गर्न सक्छ, काम रोकिदिन सक्छ। नेपालमा कर्मचारीतन्त्रभित्रको राजनीति पनि समस्या भएको व्यवसायी बताउँछन्-एक दलको कर्मचारीले अर्काे दलको कर्मचारीलाई नटेर्ने, एउटाले अर्काेलाई सहयोग नगर्ने प्रवृत्ति। कर्मचारीतन्त्रको राजनीतिकरण नरोक्ने हो भने लगानी आकर्षण र प्रवद्र्धन गाह्रो हुने निष्कर्ष निकालिन्छ।
प्रतिफल लैजान अवरोधः लगानीकर्ताको सबैभन्दा संवेदनशील प्रश्न
कुनै पनि मुलुकमा लगानी गर्दा लगानीकर्ताले आफ्नो आर्जित नाफा सहजै लैजान चाहन्छ। जबसम्म आम्दानीका आधारमा हुने नाफा लैजान सरकारले बाधा फुकाउँदैन, समस्या आइरहने गुनासो व्यवसायीको छ। दुई दशकभन्दा लामो समयदेखि नेपालमा काम गरेर हरेक वर्ष नाफा कमाएर आफ्नो मुलुक लैजाने कम्पनीलाई पनि बेलाबखत विभिन्न बहाना देखाएर नाफा लैजान अवरोध गरेको आरोप छ।

नेतृत्व तहको कर्मचारी फेरिनेबित्तिकै अवरोध गर्ने, लामो समयसम्म काम नगर्ने, हिजो भएको कामलाई पनि मान्यता नदिई दुःख दिने-यस्तो प्रवृत्ति बढ्दो छ। नेपालमा प्रणालीले होइन, व्यक्तिको ‘तजबिज’ मा काम भइरहेको अनुभूति हुन्छ। जब नाफा लैजान अवरोध गरिन्छ, लगानीकर्ता पक्कै हिच्किचाउँछ।
नेपालमा रहेका बहुराष्ट्रिय कम्पनीका विस्तृत सुझाव
नेपालमा सञ्चालनमा रहेका बहुराष्ट्रिय कम्पनीले प्रत्यक्ष विदेशी लगानी बढाउन र उद्योगमैत्री वातावरण बनाउन सरकारलाई नीतिगत तथा कानुनी सुधारका विस्तृत सुझाव दिएका छन्। उनीहरूका अनुसार वर्तमान कानुन, कर, श्रम, व्यापार र प्रशासनिक प्रक्रियाले लगानीमैत्री वातावरण कमजोर बनाएको छ।
दोहोरो खाता प्रणालीको झन्झट
हाल नेपालमा व्यवसाय गर्ने बहुराष्ट्रिय कम्पनीले दुईवटा खाता प्रणाली तयार गर्नुपर्ने गुनासो गरेका छन्-एक स्थानीय कानुनअनुसार र अर्काे अभिभावक कम्पनीसँग मिल्दोजुल्दो। यसले दोहोरो लेखा परीक्षण गर्नुपर्ने र खर्च बढ्ने बताइन्छ। प्रशासनिक झन्झट मात्र होइन, लगानी लागत पनि अनावश्यक बढ्छ। कम्पनीहरूले अभिभावक कम्पनीसँग मिल्दोजुल्दो एउटै वित्तीय विवरण तयार गर्न अनुमति दिने गरी कानुनी संशोधन गर्नुपर्ने सुझाव दिएका छन् ।
समूहभित्रका वस्तु व्यापारमा सीमितता
बहुराष्ट्रिय कम्पनी समूहले उत्पादन गरेका धेरै वस्तु नेपालमा उत्पादन सम्भव नभएको अवस्थामा पनि स्थानीय उत्पादन कम्पनीले व्यापार गर्न नपाउने व्यवस्था समस्या बनेको बताइन्छ। यसले उद्योग र उपभोक्ता दुवैलाई नोक्सान पुर्याइरहेको तर्क छ। समूह वा सम्बद्ध कम्पनीले उत्पादन गरेका वस्तुमा मात्र सीमित व्यापार गर्न अनुमति दिने सुझाव उठाइएको छ।
ट्रेडमार्क सुरक्षामा कमजोरी
नेपाल अन्तर्राष्ट्रिय ट्रेडमार्क संरक्षणसम्बन्धी सम्झौतामा आबद्ध भए पनि व्यवहारमा स्थानीय व्यक्ति वा कम्पनीले विश्वप्रसिद्ध ट्रेडमार्क आफ्नो नाममा दर्ता गरी प्रयोग गर्ने अवस्था रहेको बहुराष्ट्रिय कम्पनीहरूको गुनासो छ। यसले लगानी सुरक्षामा गम्भीर जोखिम सिर्जना गर्छ। सरकारले अन्तर्राष्ट्रिय सम्झौताअनुसार ट्रेडमार्क कानुन कडाइका साथ लागू गर्नुपर्ने र विश्वप्रसिद्ध ट्रेडमार्कलाई प्राथमिकता दिनुपर्ने माग गरिएको छ।
रोयल्टी र प्राविधिक शुल्कमा कर समस्या
आयकर मूल्यांकनका क्रममा रोयल्टी र प्राविधिक शुल्क अस्वीकृत हुने समस्याले बहुराष्ट्रिय कम्पनीहरू समस्यामा परेका छन्। उत्पादन, प्रविधि र ब्रान्ड विकासका लागि गरिएको खर्चलाई कर प्रयोजनका लागि मान्यता नदिँदा लगानी निरुत्साहित हुने चेतावनी छ। यसलाई वैधानिक खर्चका रूपमा स्वीकार गर्नुपर्ने सुझाव दिइएको छ।
तेस्रो देशका वस्तु भारतबाट किन्न नपाउँदा समस्या
तेस्रो देशमा उत्पादित कच्चा पदार्थ वा उपकरण भारतमार्फत खरिद गर्न नपाउँदा उद्योगलाई ढिलाइ र अतिरिक्त लागत बेहोर्नुपरेको भनाइ छ। भारतबाट खरिद अनुमति दिँदा सरकारी राजस्वमा असर नपर्ने र उद्योगको उत्पादन निरन्तर हुने तर्क प्रस्तुत गरिएको छ।
विदेशी कर्मचारीको रकम पठाउन जटिल
नेपालमा कार्यरत विदेशी कर्मचारीले आफ्नो प्रतिनिधित्व रकम विदेश पठाउँदा जटिल नियमका कारण समस्या भोग्नुपरेको गुनासो छ। यसका लागि प्रक्रिया सरल र स्पष्ट बनाउन आग्रह गरिएको छ।
कच्चा पदार्थ आयात प्रतिबन्धको असर
बिस्कुट र बेकरी उद्योगको मुख्य कच्चा पदार्थ मानिने ‘ह्वे प्रोटिन’ नेपालमा उत्पादन नहुँदा उद्योग संकटमा परेको बहुराष्ट्रिय कम्पनीले बताएका छन्। दूधजन्य पदार्थ आयात प्रतिबन्धका कारण आपूर्ति अवरुद्ध भएको भन्दै भारतबाट आयातमा विशेष छुट दिन माग गरिएको छ।
श्रम सम्झौता अवधि बढाउन सुझाव
श्रम ऐनअनुसार हरेक दुई वर्षमा सामूहिक सम्झौता गर्नुपर्ने र पारिश्रमिक परिमार्जनले लागत बढाएको गुनासो छ। यसले उद्योगलाई उत्पादनभन्दा श्रम विवादमै अल्झाइरहेको तर्क छ। सम्झौताको अवधि तीन वा चार वर्ष पु¥याउनुपर्ने सुझाव दिइएको छ।
सामाजिक सुरक्षामा स्पष्टता माग
सामाजिक सुरक्षाका नाममा जम्मा भएको रकम सामाजिक सुरक्षा कोष स्थानान्तरणको स्पष्ट प्रक्रिया बनाउन सुझाव दिइएको छ। यसो हुँदा कर्मचारीलाई उच्च ब्याजदर र कम करदरको प्रत्यक्ष लाभ हुने दाबी छ। दैनिक ज्यालादारी कामदारको सामाजिक सुरक्षा कोष खारेज गर्नुपर्ने माग पनि उठाइएको छ, जसले बारम्बार रोजगारी परिवर्तन गर्ने कामदार र अनावश्यक प्रशासनिक बोझ घटाउने भनाइ छ।
बहुराष्ट्रिय कम्पनी भनेको के हो?
बहुराष्ट्रिय कम्पनी एकभन्दा बढी देशमा व्यवसाय सञ्चालन गर्ने व्यापारिक कम्पनी हुन्। यस्ता कम्पनीका स्रोत, उत्पादन, सेवा वा स्थान एकभन्दा बढी देशमा रहन्छ वा वितरित हुन्छ। यो एक प्रकारको बहुराष्ट्रिय निगम वा व्यावसायिक संगठन हो। यस्ता कम्पनीका थुप्रै देशमा सहायक शाखा वा सहयोगी संस्था हुन्छन् र तिनले सीमापार व्यापार तथा अन्तर्राष्ट्रिय कारोबार गर्छन्।
बहुराष्ट्रिय कम्पनीका फाइदा
देशले बहुराष्ट्रिय कम्पनी भित्र्यायो भने यसले सम्बन्धित मुलुकको अर्थतन्त्रलाई सहयोग गर्छ र फाइदा दिन सक्छ। उत्पादन लागत घटाउन सक्छ। धेरै देशमा व्यवसाय सञ्चालन गरेर नाफा बढाउन सक्छ। नयाँ बजार, प्रविधि र स्रोतमा पहुँचबाट लाभ लिन सकिन्छ, जुन स्वदेशमै उपलब्ध नहुन सक्छ।
उत्पादन विविधता, बजार विविधता र लागत संरचना परिवर्तन हुँदै अर्थतन्त्रको विविधता विस्तार हुन्छ।
खुला अर्थनीतिलाई आत्मसात् गरेपछि नेपालमा विदेशी लगानीमा नयाँ उद्योग खुल्ने तथा नेपालीलाई साझेदार बनाएर भित्रिने अभ्यास सुरु भयो। सुरु-सुरुमा बहुराष्ट्रिय कम्पनीका उत्पादन नेपालमा आयात भएर बिक्री हुन्थे, तर पछिल्लो समयमा नेपालमै उद्योग स्थापना भएका उदाहरण पनि छन् । यसबाट अल्पविकसित मुलुकका उत्पादन विकसित मुलुकले आयात गर्ने वातावरण बन्न सक्छ।
रोजगारी विस्तार हुँदा बेरोजगारी घट्छ, स्थानीय पूर्वाधार विकासमा सहयोग पुग्छ। उत्पादन विविधता, बजार विविधता र लागत संरचना परिवर्तन हुँदै अर्थतन्त्रको विविधता विस्तार हुन्छ। डिजिटल भुक्तानीलाई टेवा पुग्छ, ‘क्रस कल्चर’ निर्माणमा आधार तयार हुन्छ। बहुराष्ट्रिय कम्पनीहरू नै समग्र विश्वमा प्रत्यक्ष लगानीका प्रमुख माध्यम हुन् । यसले अल्पविकसित मुलुकमा व्यापार र लगानीका स्रोत दिन्छ, बाह्य ऋण निर्भरता घटाउँदै विदेशी पुँजी भित्र्याउन मद्दत गर्छ। विदेशी विनिमय सकारात्मक हुन्छ, उद्योग-व्यापारको उन्नति, विदेशी व्यापार तथा बजारको एकीकरण, आधुनिक प्रविधि तथा व्यवस्थापन प्रणालीको उपलब्धता बढ्छ।